이번 포스팅에서는 채권의 가격과 수익률(금리)와의 상관관계에 대해 알아보겠습니다.
우선 채권에 대한 기본 개념이 부족하면 채권의 기본개념 (정의, 특징, 종류) 이전 포스팅을 참고해주세요.
- 채권 금리 정의 -
(균형)채권가격이란 현재 유통시장에서 거래되고 있는 채권의 가격을 말하며,
채권수익률이란 여러가지 개념이 있지만 별도의 설명이 없으면 만기 수익률을 말합니다.
만기수익률은 현재 채권가격에 채권을 사서 만기까지 가져갈 경우 얻게되는 수익률을 뜻합니다.
만기수익률(yield to maturity, YTM)을 흔히 채권금리라고 부르기도 합니다.
- 채권 가격과 금리의 상관관계 -
채권은 발행 시에 표면금리와 액면가가 확정된다는 특징이 있죠.
따라서 채권을 어떤 가격에 사든 상관없이 연간 이자는 액면가에 표면금리를 곱한 금액만큼 지급됩니다.
또한, 만기 시에도 매입한 가격과는 상관없이 액면가만큼 상환됩니다.
그러므로 채권을 싸게 살수록 받는 이자와 상환액은 투자금액 대비 수익률이 좋아지게 되죠.
즉, 채권가격과 채권금리 간에는 역관계가 성립합니다.
많은 사람들이 '채권 금리가 오르면 채권을 사려는 수요가 높아질꺼고 그럼 채권가격이 오를테니
둘이 비례해야하는거 아니야?'라고 착각하곤 합니다.
하지만 실제로는 반대로 '채권가격이 낮아져서 채권 금리가 올랐다'라고 생각하는 것이 맞습니다.
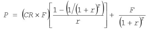
가장 보편적인 이표채의 채권가격과 만기수익률간의 공식은 아래와 같습니다.
P는 채권가격, CR은 표면금리, F는 액면가, T는 만기까지 남은 년수(듀레이션), r은 만기수익률을 나타냅니다.
이를 그래프로 나타내면 만기수익률과 채권가격간에 반비례관계가 있음을 확인할 수 있습니다.
정확하진 않지만 좀 더 쉽게 계산하는 방법으로는 금리가 a%만큼 변동했으면
그 반대 방향으로 가격은 a x T만큼 변동한다고 생각하면 됩니다.
예를 들어, 평균 듀레이션이 20년 정도인 미국 장기채 ETF TLT는
만약 미국 국채 20년물 금리가 3%에서 2%로 하락한다면
대략 가격이 1 x 20 = 20%정도 상승할 것이라고 어림잡아 계산할 수 있습니다.


- 채권 가격의 결정요소 -
그럼 채권의 가격은 어떻게 결정될까요?
채권의 가격도 당연히 시장의 수요와 공급의 균형에 따라 결정되며
이들은 시중자금사정, 금융정책, 신용등급, 신규발행규모 등에 영향을 받습니다.
1. 시중의 자금사정
먼저 시중에 자금이 풍부하면 증권시장에도 돈이 몰리게 되고
수요곡선이 오른쪽으로 이동해 채권가격은 상승합니다.
2. 통화정책, 재정정책
채권투자는 정기예금 수익률과 비교가 되기 때문에 금리인상기에 정기예금 금리가 오르게 되면
상대적으로 채권의 매력이 떨어져 가격이 떨어지고 채권금리가 오르게 됩니다.
아래 그래프를 보시면 금리인상기인 보라색 영역에는 채권가격이 횡보 또는 하락하고
금리인하기인 노란색 영역에서는 채권가격이 가파르게 상승하는 것을 볼 수 있습니다.
보통 시장금리는 기준금리 결정에 선행하여 먼저 움직이기 때문에, 기준금리 인상 싸이클의
8부능선 쯤에서 시장금리가 피크를 찍는 경우가 많으므로 이 때가 채권 투자 적기라 할 수 있습니다.
또한, 중앙은행이 채권을 시장에 내다 파는 양적긴축이 진행되면 시장에 채권 유통량이 늘어나면서
채권 가격에 약세로 작용하고 반대로 양적완화가 진행되면 채권 가격에 강세를 불러옵니다.

3. 신용등급
발행자의 신용등급이 하락하면 투자자들이 해당 채권의 매입을 꺼려하므로
수요곡선이 왼쪽으로 이동하여 채권가격은 하락합니다.
4. 추가발행
추가적인 신규발행이 있으면 공급곡선이 오른쪽으로 이동하여 채권가격은 하락합니다.
5. 경기동향
경기상승국면에서는 기업들의 투자가 증가하므로 자금조달을 위한 채권의 공급이 증가하고
채권가격은 하락하며 채권수익률은 증가합니다.

6. 물가
물가와 채권 금리는 중장기적으로 양의 상관관계를 가집니다.
물가가 상승하면 표면금리(명목이자율)가 정해져있는 채권의 실질이자율이 낮아진다고 할 수 있고
투자자들은 채권에 대한 투자를 기피하고 부동산 등 실물자산에 대한 투자를 선호하게 됩니다.
따라서 수요의 감소로 인해 채권가격이 점진적으로 낮아지게 됩니다.

재테크피디아는 투자 전반에서 스스로 공부하고 활용할 수 있도록 직접투자의 길을 잡아주는 재테크 백과사전입니다.
더 많은 공부를 원하시면 블로그 내 다른 글도 구경하시고 많은 도움 되시길 바랍니다!
'채권시장' 카테고리의 다른 글
| 명목금리와 실질금리의 차이 (0) | 2022.07.07 |
|---|---|
| 기준금리 결정이 주식과 채권에 미치는 영향 (1) | 2022.07.07 |
| 채권 직접 투자 (장내채권 & 장외채권) (1) | 2022.07.06 |
| 채권 투자 방법 (개별 채권 vs 채권 ETF) (3) | 2022.07.06 |
| 채권의 기본개념 (정의, 특징, 종류) (1) | 2022.07.06 |
댓글